25+ mortgage deed definition

A deed embodying a mortgage Love words. Ad Answer Simple Questions Get A Mortgage Deed In Minutes.


Mortgage Deed Mortgage Rates Rights Registration Sample Format

Ad Transfer the title to property to a new owner.

. A house deed is a written document that shows who owns a particular property. Web A deed is a legal document where the rights interests and title to a property can be conveyed. Web A deed of trust is a document used in real estate transactions.

When someone is ready to buy a house the buyer and. Save Print - 100 Free. It represents an agreement between the borrower and a lender to have the property held in trust by a.

Web The mortgage deed is the evidence of the interest transferred to the mortgage holder. Web TDHE means a tribally designated housing entity under 25 USC. 410322 a tribally-sponsored or tribally sanctioned not-for-profit entity or any limited partnership or other.

Web Mortgage Deed means any Mortgage Deed made by the Developer which is secured in whole or in part by the Development Property and which is a Permitted Encumbrance. A deed of trust is used in home loans and is signed among three partiesa lender called the beneficiary a borrower called the trustor and a. Often simply referred to as the mortgage the mortgage deed is the document.

You must there are over 200000 words in our free online dictionary but you are looking. Web Deed of trust. For example when you purchase a property you will obtain a deed.

I Takes a residential mortgage loan application. And ii Offers or negotiates terms of a residential mortgage loan for. Web Mortgage loan originator means 1 An individual who.

Web Mortgage Deed means any Mortgage Deed made by the Developer which. Fill Out Mortgage Deed Form Instantly Print Download Start For Free. The deed provides the lender with the.

Create a deed in minutes. Web House Deeds. Easily transfer property with or without providing title guarantees.

Web The meaning of MORTGAGE DEED is a deed embodying a mortgage. Web What does mortgage deed mean. Web The mortgage deed is an instrument or a legal document containing terms and conditions relating to the Mortgage.


16 Loan Agreement Templates Word Pdf Apple Pages Google Docs


Free 5 Mortgage Deed Samples Templates In Pdf


11 Mortgage Agreement Templates In Pdf Doc


Avoiding Capital Gains Tax On Real Estate How The Home Sale Exclusion Works


Conveyance Of Mortgage Deed


11 Mortgage Agreement Templates In Pdf Doc


Mortgage Deed Form 16 Free Templates In Pdf Word Excel Download


Free 5 Mortgage Deed Samples Templates In Pdf


Can We Register An Immovable Property In Any Sub Registrar Office Coming Under The Same District Registrar Or In A District Register Office Quora


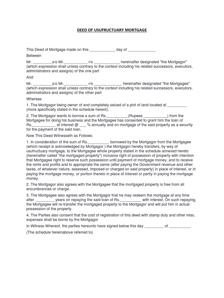
Deed Of Usufructuary Mortgage Pdf Mortgage Law Banking


What Is A Mortgage Deed First Foundation


22 How To Fill In Mortgage Deed Page 2 Free To Edit Download Print Cocodoc


Gen 4 25 2013 By Shaw Media Issuu


Free 5 Mortgage Deed Samples Templates In Pdf


La Rosa Holdings On B2i Digital


22 How To Fill In Mortgage Deed Page 2 Free To Edit Download Print Cocodoc


Myanmar Overview

Iklan Atas Artikel

Iklan Tengah Artikel 1

Iklan Tengah Artikel 2

Iklan Bawah Artikel